Drej i bue

Sidst opdateret 6.6.12.

Når begge hjul på robotbilen bliver sat til at køre fremad, men med forskellig motorstyrke, vil bilen køre rundt i en bue, det hurtigste hjul på en større ydre cirkel og det langsomste hjul på en mindre indre cirkel. For at få de to motorer til at køre med forskellig motorstyrke skal der bruges to kør ikoner, f.eks. som i programmet her:

Konfigurationspanelerne for det første kør ikon for motor C og vente ikonet ser sådan ud:
De to kør ikoner starter de to motorer med hver sin motorstyrke, motor C med styrke 75 og motor B med 50. Da Varighed er sat til Ubegrænset kører de to motorer indtil de standses af et kør ikon senere i programmet. Efter de to kør ikoner er et vente ikon anbragt i sekvensbjælken. Programmet venter her 1 sekund inden det går videre til næste ikon. Næste ikon er et kør ikon, som standser de to motorer. Programmet starter altså de to motorer, lader dem kører 1 sekund og standser dem så. Da motorerne har forskellig motorstyrke vil motor C med størst motorstyrke kører en længere strækning end motor B. Derved vil robotbilen dreje i bue som det ses på videoen:
Undersøg om det også under andre omstændigheder vil være sådan, at programmet får robotbilen til at køre i en bue. Eksperimenter f.eks. med
  • andre antal sekunder og andre forhold imellem motorstyrkerne for de to motorer. Hvad sker hvis de to motorstyrker er næsten ens? Og meget forskellige?

  • at de to motorer kører i modsat retning med forskellig motorstyrke. Hvilken slags bevægelse foretager robotbilen så?

Robot bilen ser altså ud til at bevæge sig rundt i en bue, når de to hjul bevæger sig med forskellig motorstyrke, f.eks. sådan her:

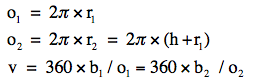
Fjernes de to hjulbilleder, kan skitsen af bilens bevægelse bruges til at finde formler, så radius i den cirkel det inderste hjul drejer og vinkel, som bilen drejer, kan beregnes på basis af, hvor lang en strækning de to hjul kører:
Af figuren ses at:
Indføres lidt kortere betegnelser:
kan formlerne skrives som:
Ud fra den sidste linie fås, idet faktoren 360 forkortes væk:
Nu indsættes udtrykkene for de to omkredse og 2π forkortes væk:
Herfra findes radius af den indre cirkel som:
Når radius af den indre cirkel er beregnet, fås vinklen som:
For at beregne radius og vinkel ud fra formlerne skal hjulafstand og længden af de to cirkelbuer kendes. Hjulafstanden h fås ved at måle på robotbilen. Så tallet for hjulafstanden kan findes. Hvad med de to cirkelbuer? For at få længden af cirkelbuerne skal det vides, hvor langt et hjul kører, når det drejer i et givent antal sekunder med en given motorstyrke.

For at finde ud af hvor lang en strækning robotbilen kører, når motorerne sættes til at køre et givent tidsrum, kan programmet ovenfor bruges med samme motorstyrke på begge hjul. Så vil robotbilen jo kører ligeud f.eks. i 1 sekund. Udfyld en tabel med resultater for f.eks. motorstyrke 50:

Gennemføres eksperimentet for forskellige motorstyrker findes f.eks.:
Bemærk, resultaterne afhænger af batteriets tilstand. Er batteriet nyopladt kører bilen længere. For de tre motorstyrker ser graferne ud til at være næsten rette linier. Det første stykke for tid mindre end 0,5 sekunder ser dog noget anderledes ud:
Her er ikke tale om helt rette linier. Hvorfor mon?

Ses bort fra tider under 0,5 sekunder, ses strækningen at være en lineær funktion af tiden:

Strækningen kan altså findes ved at kende den strækning bilen kører på 1 sekund og så gange med antal sekunder. Ud fra eksperimenterne med at måle strækning kørt for forskellige motorstyrker fås en graf for hvor langt robotbilen kører på 1 sekund afhængig af motorstyrke:
For små motorstyrker bevæger bilen sig ikke. Afhængig af batteritilstanden skal motorstyrken op over cirka 5-10 før bilen bevæger sig. For motorstyrker over 10 ser det ud til, at strækningern er en lineær funktion af motorstyrken, nemlig:
Konstanten 0,35 er strækningen for motorstyrke 100 divideret med 100, altså strækning kørt i cm per motorstyrkeenhed. Konstanten afhænger af batteritilstand, men også af f.eks. hvilket underlag bilen kører på.